
欢迎关注“创事记”微信订阅号:sinachuangshiji
文/乾明 晓查
来源:量子位(ID:QbitAI)
无数人心心念的钢铁侠战衣,被人高度仿真做出来了:

出手者,是久负盛名的美国特效工程师、著名极客节目《流言终结者》主持人Adam Savage。
在他新做的一档节目Savage Builds中,介绍了这一壮举。
与其他钢铁侠战衣的Cosplay者相比,Adam的战衣明显精良了太多,而且防弹抗爆:
最关键的是,这个战甲真!能!上!天!
要知道,漫威电影中,第一代钢铁侠战衣的雏形也不过如此。
视频放出来之后,瞬间在社交网络上刷屏,惊叹之声无处不在,而且想要者甚多。
那么,这样一个能飞的钢铁侠战衣,是怎么造出来的呢?
飞行原理
我们先从原理讲起。
在Adam Savage造出钢铁侠战衣后不久,科技媒体《连线》杂志就发表了一篇文章,从物理学的角度,详细分析了背后的原理。
而且所需物理知识,没有超出九年义务教育范畴。
如果足够细心,你一定记得“钢铁侠”刚开始飞行时候,手臂会略微张开,保持一定角度。

这并非只是剧情效果需要。
因为这样一来,就会受到4个力的作用:有向下的重力(mg),来自背包喷射产生的向上的推力(FB),以及来自两个手臂喷射装置向上的倾斜的力(FR和FL),各个力的方向与构造大致如下图所示:

初中物理老师告诉我们,在这种状态下,想要钢铁侠悬浮在空中,需要各方合力保持为零,
其对应的公式如下:

那么,如果不改变喷射推力,怎么从悬停状态变成到加速起飞呢?
其中的关键是两个喷射臂的推力角。从上面的受力分析图来看,人在水平方向上受到的力有两个,来自左右喷射臂。
如下图所示,θ代表手臂与水平方向的夹角,力的大小分别是FRcosθ、FLcosθ。
在悬浮状态下, FRcosθ = FLcosθ,它们大小相等方向相反,相互抵消。

垂直方向上,人受到的力有4个,分别是来自喷射背包、喷射臂以及地球引力。假设战衣驾驶员处于悬停状态,则y方向上的合力必须为零。
FRsinθ + FLsinθ + FB - mg = 0
想飞起来,就把手臂贴近身体,此时手臂与水平方向的夹角θ增大,sinθ也在增大,总的升力将会大于重力。
同样的,当把手臂逐渐放平减小θ时,总的升力将小于重力,人就可以缓缓落回地面。

如果你是钢铁侠,想要操控战衣飞到别的地方去,就需要改一改喷射方向。
为了加速前进,你需要将你的手朝向后方,或者把身体向前倾斜,喷射器就会把你的身体向前推。反之亦然。

只有原理还不够,要让一个人飞起来,大致需要多少能量呢?一年前,《连线》也发文推算过这个问题。
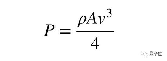
喷气背包的原理是吸入空气喷向下方,产生向上的反作用力。推力对空气做功等于空气获得的动能。

由此算出推力的大小。

其中,ρ代表空气密度,A是喷射器截面面积,v是空气最终喷出的速度。当这个力等于重力的时候,人就能做到悬停。
此时喷射器的功率为:

人+钢铁侠战衣的总重量为90kg,总共有6个喷射器、每个直径都是10厘米,带入其中的算出功率为78千瓦或者104马力。
实际上Adam拍摄所用的钢铁侠战衣功率比这个结果大得多,约1000马力。
原理简单上手难
可以看出,钢铁侠战衣的基本原理并不复杂,但实际的制造过程却比这个复杂得多。
不过,得益于现代工业的发展,Adam在制作的过程中使用了很多现成技术。
首先,战衣上的各个部件,都是通过3D打印制作,原料是钛合金,其防弹的能力也是来自于此。

飞行则是依靠战衣上的三个小型喷射引擎,它们来自喷气背包公司Gravity Industries。
如上述分析,战衣的背部一个,左右手臂上分别有一个,这样的设置,让驾驶者只需要动一下胳膊就能够调整飞行姿势。
不过,与真正的钢铁侠战衣不同的是,喷气背包和喷嘴不可能和真正的史塔克战衣一样小。
常规动力在钢铁侠胸前的弧形反应堆面前不值一提。

Gravity Industries仅仅能提供1000马力的功率,托尼·斯塔克的反应堆使用的是核能,每秒就能输出8千兆焦耳,大致相当于每秒烧掉200多升汽油,功率是前者的1万倍以上。

所以制作钢铁侠战衣最大的瓶颈和智能手机一样,都是电池续航太短,斯塔克的那颗弧形反应堆才是核心难题。
当然,最核心的地方还在于,动力引擎与战甲并不能集成在一起。
以至于不少人看到Adam的钢铁侠战衣之后,第一反应就是,这不是红警里面的火箭飞行兵吗?
说实话,还真有点像~参考链接:
连线杂志报道:
https://www.wired.com/story/the-physics-of-actually-flying-around-in-an-iron-man-suit/
Adam Savage造出钢铁侠视频地址:
https://www.discovery.com/tv-shows/savage-builds/full-episodes/building-iron-man
